ELEC 243 Lab

Experiment 3.2

Writing a Labview Program

If all we could with Labview was to make computer based copies of our conventional instruments, it would be of limited use. What makes Labview so valuable is that it is programmable. By changing the program a single box (the Lab PC) can perform the functions of a large collection of instruments, both conventional and unconventional. Some of the instruments in this collection are ready-made, for example those in the program menu entries for this course and the other ELEC lab courses.

Perhaps the greatest advantage of Labview however, is that it is user programmable: if no instrument is available which meets your requirements, you can modify an existing one or create an entirely new one.

Our goal for this Experiment will be to measure the resistance of the thermister and display the result directly as a temperature reading. Since the DAQ card can only measure voltage, our first step is to convert the resistance to a measureable voltage, but we already know how to do this from Part 5 of Experiment 1.1. As a reminder, here's the circuit we used.

\includegraphics[scale=0.500000]{flashlight2.ps}
By measuring the voltage drop ($V_{res}$ ) across the 10Ω resistor we can compute the current $I$ . Since the same current flows in both the resistor and the bulb, we can compute the resistance of the bulb as $R_{bulb}=V_{bulb}/I$ . If $V_{bat}$ is known, we can determine $V_{res}$ indirectly using KVL: $V_{res} = V_{bat} - V_{bulb}$ .

We need to make a few changes to the above circuit. Obviously we need to replace the light bulb with the thermistor. Since the thermistor has a much higher resistance, we should also replace the 10Ω resistor with one closer to the nominal resistance of the thermistor, in this case 10kΩ. In addition, since our goal is to measure temperature we will need to convert the measured resistance into a displayed temperature reading.

Part 1: A Very Simple VI

Although the measurement we want to make is a fairly simple one, if you have never written a Labview program before, even simple measurements are difficult. So we will approach our final goal in a sequence of smaller steps, starting with what is probably the simplest possible task for Labview program: the measurement of a single voltage.


Step 1:

Use a BNC-Banana adapter and a BNC patch cable to connect the 0-6 V power supply to J1-3, as you did in Part 1 of Experiment 3.1.

Step 2:

Wire the following circuit ($R_T$ is the thermistor). Because the thermistor leads are very thin you will probably need to use your pliers to hold them very near the ends in order to insert them into the breadboard without bending.
\includegraphics[scale=0.500000]{ckt3.3.4.ps}


Step 3:

Using your DMM, set the 0-6 V supply output ($V_S$ ) to 5.00 V. Measure $V_T$ with your DMM. Since the nominal value of $R_T$ is 10 kΩ, it should be close to 2.5 V.

Note

The thermistors in some parts kits have a 20 kΩ nominal value. If your thermistor is not 10 kΩ, make appropriate adjustments in the following steps.


Step 4:

Load and start the DMM-Scope Labview program that you used in Part 2 of Experiment 3.1. Set the AD Channel knob to 5 and verify that $V_T$ is properly connected. This is another advantage of computer based instruments: different instruments can be employed at the same point in a circuit without having to change any connections.

Step 5:

Since we are going to build a VI from scratch, we will start with a new, blank VI. Stop the DMM-Scope VI and select "New VI" from the "File" menu. A pair of windows should appear. The one on top will be a blank Front Panel window:
and the one on the bottom is a blank Block Diagram window:


Step 6:

Our first effort will be the simplest possible VI that will actually do something: we will measure $V_T$ and display its value. Since the front panel window is on top, let's take care of the display first.

Right click over the panel window. You will get the Controls popup:

Place the cursor over the "Num Inds" button to get the Numeric Indicators popup:
Left click on the "Num Ind" button.

Step 7:

A pair of boxes with an open hand cursor will appear on the front panel.
Move this to an aesthetically pleasing location and left click. You will get a numeric display labeled "Numeric."
The fact that the word "Numeric" is highlighted means that it is selected and can be edited. Let's change the name so that we can remember what is being displayed.

Type "VT" and left click the check-mark box at the upper left of the window ( ). The indicator is now ready for use.



Step 8:

Now we need something for the indicator to display. Click on the Block Diagram window to bring it to the top. This may also bring up the Functions palette. If so, move it out of the way or click the close box. Note that placing the indicator on the front panel has also placed a block on the block diagram.
This block is the icon associated with the indicator. We can provide values for it to display by connecting it to a signal source. The source we will use will be one of the A/D converter inputs.

Step 9:

If you closed the Functions palette in the previous step, right click to bring it up.
From the Functions popup, select "Input". This will bring up the Input palette.
From this select "DAQ Assist" This will bring up a block labeled "DAQ Assistant, attached to a hand cursor.
Position this somewhere to the left of the VT indicator block and left click.

Step 10:

Wait patiently. You may briefly see a dialog labeled "Initializing". After a second or two the "Create New .." wizard will appear.
Click on "Analog Input" in the left hand column, then click on "Voltage" in the list that appears.


Step 11:

From the list of Supported Physical Channels that appears, select "ai5",
then click the "Finish" button at the bottom of the frame.

Step 12:

After another brief wait, the "DAQ Assistant" dialog appears. In the "Input Range" block set "Max" to 10 Volts and "Min" to -10 Volts. Set the "Terminal Configuration" field to "RSE". The upper half of the panel should look like this when you are done.
In the lower half, set "Acquisition Mode" to "1 Sample (On Demand)".
When you're done, click the "OK" button.

Step 13:

Things will click and whir for several seconds. When it's all over, the "DAQ Assistant" box will have expanded, and should have a white band with the word "data" in it.


Step 14:

We're almost done. All that remains is to connect the source (A/D converter block) to the destination (numeric indicator block). This process is called wiring.

Place the cursor over the small black triangle in the "data" field of the DAQ Assistant block. It should change into an icon representing a small spool of wire. Left click once and move the cursor to the small white triangle in the center of the left edge of the numeric indicator icon and left click once more. That completes our first Labview program. It should look something like this:



Step 15:

Let's try it out. Click on the Front Panel window to bring it to the top. Run the VI by clicking on the Run arrow or by typing Ctrl-R. The VT nemeric indicator should display the voltage across $R_T$ , which should still be about 2.5 V (unless the weather has changed drastically in the last few minutes).

Step 16:

It's always a good idea to save your work from time to time, and since we currently have a working VI, this would be a good time. Select Save As... from the File menu. Set the Save in: field to an appropriate directory (e.g. the desktop, your network home directory, or your local Group nn folder).

Caution

Always set the destination directory when saving a VI. Never try to save a VI in the default directory.

If "Untitled.vi" seems like an inadequate name for such a momentous work, think of a more descriptive one (e.g. "lab3.vi") and enter it into the File name field. When everything is in order, press the Save button.

Part 2: Converting Voltage to Resistance

So far we're no better off than we would have been using the DMM. In fact we're worse off since all we have is a voltage. The DMM at least can read resistance directly. But given $V_S$ , $V_T$ , and Ohm's Law we can calculate resistance, and computers are very good at calculating things.

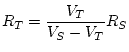
There are two ways we could formulate this calculation. We could do it in two steps, first computing $I_T=I_S=(V_S-V_T)/R_S$ , then using Ohm's Law to get $R_T=V_T/I_T$ . Alternaltely, we could treat the circuit as a voltage divider, which with a little manipulation gives
$\displaystyle R_T=\frac{V_T}{V_S-V_T}R_S$
Because we will be interested in $I_T$ in a subsequent Experiment, we will use the first approach.


Step 1:

On the front panel, create a new numeric indicator and label it IT. You can place it anywhere, but a convenient location would be near the existing indicator.


Step 2:

In order to compute the current we will have to do some arithmetic on the $V_T$ signal. Go to the block diagram window and right click to get the Functions palette. move the cursor to the Arith/Compare block to bring up the Arithmetic and Comparison palette.
Move to the Numeric block to bring up the Express Numeric palette.
This has everything we need: subtraction, division, and constants (for $V_S$ and $R_S$ ).

Step 3:

Let's start with the subtraction. Move the cursor over the symbol labeled Subtract and left click. Position the icon below the existing components on the diagram and left click to put it down. Note that while the cursor is over the symbol there are three small circles near the vertices of the triangle.
These indicate the connection points and will disappear when the cursor moves away.

Step 4:

Repeat the above process, but select the Divide symbol. Place it slightly to the right and a little lower than the subtract icon.

Step 5:

Now let's do the constants, starting with $V_S$ . Select Num Const from the Express Numeric palette and place the resulting block above and to the left of the subtract icon. The highlighted text indicates that you can enter a new value. Type 5 and press Enter or click the check box at the upper left of the window. Repeat this process, placing the icon for $R_S$ below and to the right of the divide icon. Enter a value of 10000. Here's what you should have at this point:


Step 6:

All that remains is to make the connections. We already know how to do this from the previous Part: place the cursor over a connection point, wait for it to turn into a spool of wire, click, move to the other terminal, and click again. A couple of things to note:
1. The position of the terminals on the arithmetic blocks corresponds to the conventions of grade school arithmetic. For subtract the minuend is on top and the subtrahend is on the botton. For divide the dividend is on top and the divisor on the botton.
2. To connect to an existing wire (in this case the one between the A/D converter block and the VT display block), move the cursor near, but not directly on, the wire. If you place the cursor on the wire it will turn into an arrow, indicating that you can select the wire.

When you're done it should look something like this:



Step 7:

Let's test what we have so far. Go to the front panel and click on the Run button. If all is well, $V_T$ should still be about 2.5 V and $I_T$ should be about 0.00025 A.

Step 8:

Now that we have found the current in the thermistor, finding the resistance is easy: just divide $V_T$ (which we measured directly) by $I_T$ (which we just computed). To do this we need to add another numeric indicator to the front panel and a divide block to the block diagram. Let's put the indicator to the right of the two existing ones (and label it RT to remind us what it displays).
On the block diagram, place another divide block to the left of the RT indicator block. Wire it up so that $R_T=V_T/I_T$ and here's what we have:


Step 9:

Test the VI by clicking Run from the front panel. The RT indicator should display a value close to 10000.

Part 3: Converting R to T

At this point, we have a result which could have been achieved with significantly less time and effort by using the DMM, i.e. we have the resistance of the thermistor. What we really want is the temperature, and this is where Labview pulls ahead of the competition. Given this value of the resistance and the information on the thermistor data sheet, we (i.e. Labview) can calculate the temperature.


Step 1:

Based on the information in the thermistor data sheet, derive a formula which gives the temperature (your choice of K, °C, or °F) in terms of the resistance of the thermistor.

Question 3:

After convincing yourself that your formula is correct, summarize your derivation in a form that will convince your labbie.

Step 2:

If your formula is correct, it should be somewhat more complicated than the one required to convert $V_T$ to $R_T$ . We could perform this computation the same way we did for resistance, by using a numeric operation block for each addition, division, etc. in the formula, but for a formula like this there is a more efficient and compact approach, the formula node.

In the Block Diagram window, right click to bring up the Functions palette. Move the cursor to the All Functions button to bring up the Functions palette.

Move to the Structures button
to bring up the Structures palette.
Finally, click on the Formula Node button.

The formula node is a variable sized block, so it is instantiated by clicking on the desired location of the upper right corner and dragging to create the desired size. Move the cursor to a convenient spot on the block diagram, preferably near the RT indicator icon, then click, drag, and release to create the formula node. It should look like this:



Useful Tip

If you want to find out more about the components in the block diagram, you can turn on the Context Help feature: select Show Context Help from the Help menu. When context help is turned on, a window (labeled Context Help) appears in the upper right corner of the screen. When the cursor is moved over any component in the block diagram, a brief description and a link to additional information appears. Since the context help window insists on always being on top, it can be a nuisance when you aren't using it. To make it go away until you need it again, click the close button.

Step 3:

A new formula node is not of much use. It has no formula, and it has no inputs or outputs. Let's start with the formula. As an example, we'll use $\displaystyle T=300\frac{10000}{RT}$ . (If you got this formula, you should check your derivation, as it is not correct.) Since we can't type subscripts in labview, we will use $RT$ in place of $R_T$ . To enter this into the formula node, simply place the cursor inside the block, right click, and start typing. The formula node uses the C language syntax, and each statement must end with a semicolon; When you have finished, click on the check box (or anywhere outside the formula node box).

Step 4:

At this point you may have noticed a change in the appearance of the toolbar: the run button has changed from a white arrow to a gray broken arrow ( ). This means that there is an error in the block diagram and the VI won't run. To find out what the error is, click on the broken arrow button.

If you do this you should find that the problem is an undefined variable. Actually, there are two: $T$ and $RT$ . We will define these in the next step when we create the input and output terminals.

Step 5:

Place the cursor somewhere on the left-hand border of the formula node and right-click. Select Add Input from the popup menu. This should create a small rectangular box in the border.
The highlighted (black) interior of the box is a selected text field. Type RT and click the check box. Repeat this process on the right-hand border, but select Add Output and type T into the box.

Step 6:

The arrow is still broken, but now the error message complains of an "unwired input." Let's try to fix that: connect the input (RT) to the wire between the division block and the numeric indicator which displays the value of $R_T$ . Unfortunately, this seems to have made things worse. Not only is the arrow still broken, but we also have a broken wire. (Broken wires are indicated by dashed lines with a red X in the middle.) The error list tells us: "You have connected two terminals of different types."

Data Types:

Like many programming languages (e.g. C) Labview maintains the notion of data types. Labview's data types include familiar ones such as integer, floating point, boolean, and string, as well as a number of unfamiliar ones (which we will try to avoid for the time being). Labview denotes data type by the color of the wire which carries it: integer wires are blue, floating point wires are orange, boolean wires are green, and strings are pink. Labview also supports collection types, such as arrays and structures. Scalars are denoted by thin solid lines, arrays by thick solid lines, and other collections by various patterned lines. The wide dark blue lines with internal dashes are a composite data type called dynamic data.

Dynamic data contains a lot of information in addition to the value of the sample, for example, the time at which the sample was taken, whether any errors were made in previous handling of the sample, etc. Dynamic data usually makes life easer for us by bundling ancillary information along with a signal so we don't have to be concerend about carrying it around separately, but at the moment it's causing problems. While most blocks (e.g. subtract, divide, numeric indicator) can accept any appropriate data type, including dynamic, others are more picky about what they will take. For example, the formula node expects ordinary, pure numeric data and doesn't know what to do with the additional stuff contained in dynamic data. We can fix this by converting the dynamic data to scalar data.

Step 7:

Remove the offending broken wire. To do this, place the cursor directly over the wire, so that it turns into an arrow, and double click. Press the Delete key.

Step 8:

Right click to bring up the Functions palette. Place the cursor over the Sig Manip button to bring up the Signal Manipulation palette.
From this select the From DDT block. Place this just to the left of the RT terminal of the formula node.

Step 9:

When you place the From DDT block, a dialog box labeled "Convert from Dynamic Data" will appear.
In the Resulting data type field, select Single Scalar, then click OK.

Step 10:

Wire the output of the From DDT block to the RT terminal of the formula node. Connect the input of the From DDT block to the wire between the division block and the RT numeric indicator. The arrow should now be unbroken.

Step 11:

All that remains is to display the value of temperature that we have gone to so much trouble to calculate. Place another numeric indicator at an appropriate location on the front panel and label it T. Return to the block diagram, position the new indicator icon just to the right of the T terminal of the formula node, and wire them together. Here's what you should have:


Step 12:

Return to the front panel and press the run button. If all is well, the T indicator will display the current temperature.

Part 4: Continuous Display

Although we have technically achieved our goal of measuring and displaying temperature, we can only do so on demand. It would be much more useful if we had a system which could continuously display the current temperature. Fortunately, this is a simple enhancement to make. Like more conventional programming languages, Labview has looping and branching constructs. What we need here is the while loop which repeats its contents until an exit condition is met.


Step 1:

Right click in the block diagram to bring up the Functions palette. Move the cursor to the Exec Ctrl button to bring up the Execution Control palette.
Click on the While Loop button.

This is a variable sized block, like the formula node, and we want it to enclose everything we currently have in our VI. Bring the cursor into the block diagram window and click above and to the left of all blocks, then drag until everything is enclosed and release.

Note the green-bordered block labeled stop in the lower right corner of the while loop. This is a free accessory that allows us to stop the loop, which would otherwise run forever. This block is an example of a control. A control is the dual of an indicator, i.e. it provides input from the front panel to the block diagram. Go to the front panel and notice that there is a new object, a button labeled STOP. Pressing this button causes the associated icon to output a True value (when the button is not pressed, the output is False).

Step 2:

From the front panel, press the Run button. The indicators should now display continuously updated values. To convince yourself that these aren't random, grab the body of the thermistor between your thumb and forefinger, being careful not to touch the leads. The displayed temperature should increase. When it stabilizes, or you get tired of pinching the thermistor, press the STOP button.

Step 3:

The updating of the display, while certainly continuous, might also be described as frantic. This is because new samples are being taken and displayed as fast as the A/D converter is able to take them (1,250,000 samples/second), which is much faster than any phenomenon we might bring into the lab is capable of changing its temperature. The net result is wasted processor power and a blurry display which is difficult to read.

There are a number of ways in which we can set the sampling rate to a more reasonable value. We will utilize one which requires minimal change to what we have already constructed.

Return to the block diagram and again bring up the Execution Control palette. This time select the Time Delay block

and place it in a convenient location inside the while loop. Accept the default delay of 1 second by clicking OK in the Configure Time Delay dialog box. (If the block automatically wires itself to something, remove the resulting wire.)

Step 4:

Return to the front panel and click Run. The display should now update at a more leisurely rate.

Step 5:

Be sure to include a printout of your block diagram in your lab writeup. You can do this with Print Window ... from the File menu.

Step 6:

Save your work in a persistant location (not the desktop). We will make further enhancements next week.