ELEC 243 Lab

Experiment 6.2

Bridge Measurements

Components

Part 1: Instrumentation Amplifier

Fortunately the circuit of Fig. 8.1 is so useful that it is available prefabricated on a single chip, so we don't have to wire it up out of multiple op amps and resistors. There are a variety of instrumentation amplifier chips available. The one we will use is the INA126.


Wiring:

The INA126 is partially pin compatible with the 741: the pins that they have in common are in the same place. So if you try to wire it like a 741, it won't blow up, but it won't work very well either. Here's the pinout:
\includegraphics[scale=0.500000]{ckt8.1.1.ps}
Fig. 8.2: INA162

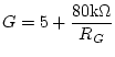
The differences with respect to the 741 are: (a) pin 5 must be connected to ground, and (b) gain is set by a single resistor rather than a feedback network. If a gain greater than 5 is desired, a gain programming resistor ($R_G$ ) must be connected between pins 1 and 8. The formula for gain is $\displaystyle G=5+\frac{80\rm k\Omega}{R_G}$ . Choose the resistor from your parts kit which gives a value for $G$ as close as possible to 100.

Testing:

Set the function generator to produce a 100 Hz sine wave. Ground $v_{in-}$ and connect the function generator output to $v_{in+}$ . Adjust the function generator amplitude and offset until $v_{out}$ is an unclipped 10 V p-p sine wave.

Observations:

Measure the input and output amplitudes and determine the actual gain of the amplifier. Is is reasonably close to 100? Increase the frequency until the output drops to 7 V p-p. This is the 3 dB bandwidth.

Part 2: Pressure Sensor

If a thin diaphragm experiences a difference in pressure between its two sides it will be deformed: concave (compressive strain) on the high pressure side and convex (tensile strain) on the low side. If strain gages are placed at appropriate locations on a such a diaphragm, the strains resulting from the pressure differential will be translated to changes in resistance which can be measured with a bridge circuit.

The MPX Pressure Sensor contains just such an arrangement. The four pin package provides a connection to each corner of the bridge:

\includegraphics[scale=0.500000]{ckt8.1.2.ps}
In the MPX sensor, each of the resistors in the bridge is an active strain gage, so the sensitivity is 4 times the value we calculated in the Background section, where only one of the resistors was a sensor.

Ports for tubing are provided for each side of the diaphragm. The port directly above pin 4 is the positive pressure port ($P_1$ ) while the one above pin 1 is the vacuum port ($P_2$ ).


Wiring:

Plug the MPX2010 into the breadboard and connect it to the INA126 as shown below.
\includegraphics[scale=0.500000]{ckt8.1.3.ps}

Also connect $V_P$ to A/D input channel 6.

Since the bridge circuit is less sensitive to changes in the excitation voltage, we won't explicitly monitor it like we did in Lab 4. However, for maximum accuracy you should use your DMM to set the power supply voltage to exactly 15 V.

Testing:

Monitor $V_P$ with the oscilloscope set to 20mv/div, DC. Press the tip of your finger against the pressure port of the MPX2010. You should observe a positive signal on the scope. Similarly, pressing your finger against the vacuum port should produce a negative signal.

Connect one end of a 3' piece of 1/8" i.d. vinyl tubing to the pressure port of the MPX2010. Speak, whistle, or otherwise make noise at the other end. You should observe an appropriate signal on the oscilloscope.

Measuring Pressure:

Load the Lab 8 VI from the ELEC 243 Start menu. The left-hand half of this VI reads the amplified output of the pressure sensor, converts the voltage into the equivalent pressure, and displays the result. We'll look at the right-hand half in the next Experiment.

Start the VI. The value of the Vin indicator should correspond to the value measured by the oscilloscope. Since both ports are connected to the same pressure (ambient atmospheric) this should be zero. However, the amplifier input offset voltage and any imbalance in the sensor bridge elements will likely result in a non-zero value. Wait a minute or two for things to warm up, then enter the value of Vin into the offset control. The displayed value of pressure should now be zero.

Draw the plunger of a 3 ml Syringe to the 2 ml mark. Insert the tip of the syringe into the free end of the tubing connected to the pressure sensor. Adjust the plunger until the pressure reads zero and note its position. Slowly press the plunger in until the pressure reading is 10 kPa and again note the position.

Question 4:

Is the observed change in pressure consistent with the change in volume? Explain.

Moving On:

When finished with this Experiment, be sure to stop the VI.