ELEC 243 Lab

Background

Bridge Circuits

In previous Labs we have developed a number of different interfaces to resistive sensors. In Lab 1 we simply connected the sensor to the DMM. This is quick, but not suitable for use with Labview. In Lab 3 we achieved Labview compatability with this circuit:

\includegraphics[scale=0.500000]{ckt3.3.4.ps}
After several enhancements, we finally arrived at this:
\includegraphics[scale=0.500000]{ckt4.2.2.ps}

As we saw in Lab 4, this circuit gives good results with the thermistor and CdS photocell. These devices, especially the photocell, are characterized by producing significant changes in resistance in response to the measurements we wished to make. However, other types of sensors, such as strain gages, produce very small changes of resistance. If we use this circuit with such sensors, it can severely limit the precision of our measurements.

Let's consider a simplified version of the two circuits shown above.

\includegraphics[scale=0.500000]{ckt8.0.1.ps}
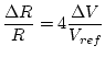
Here $R_2$ replaces the 10 kΩ resistor ($R_S$ ) in the above circuits, $R_1$ replaces the sensor ($R_T$ ) and $V_S$ is still $V_S$ (called the excitation voltage). The output voltage $v_a$ was $V_T$ in the previous circuits.

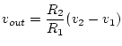
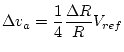
When drawn this way, the circuit looks like a voltage divider, so $\displaystyle v_a = \frac{R_1}{R_1+R_2} V_{ref}$ If we consider the sensitivity of the output voltage $v_a$ to changes in the sensor resistance $R_1$ , we get $\displaystyle \frac{d v_0}{d R_1} = \frac{R_2}{(R_1+R_2)^2}V_{ref}$ . For small changes ($\Delta R$ ) in $R_1$ the corresponding change in $v_a$ is $\displaystyle \Delta v_a = \frac{R_2\Delta R}{(R_1+R_2)^2}V_{ref}$ If $R$ is the nominal value of the sensor resistance and we choose $R_2=R$ , then $\displaystyle \Delta v_a = \frac{1}{4}\frac{\Delta R}{R}V_{ref}$ .

As we saw in the Introduction to Lab 5, the minimum resolvable step for the A/D converter on the 10 V range is 0.31 mV. This means that the smallest change in resistance that we can measure is $\displaystyle \frac{\Delta R}{R}=4\frac{\Delta V}{V_{ref}}$ or about 0.012%. This doesn't seem like much of a limitation, but the pressure sensor we will be using in Experiment 8.1 has a full-scale resistance change of only 0.25%, which would give us a resolution of only 1/20 full-scale.

The root of the problem is that the total change in the voltage $v_a$ is only a small fraction of the range of the A/D converter. But since this value is located in the middle of the range, we can't amplify $v_a$ without exceeding the range of the A/D converter. What we need to do is amplify the changes in $v_a$ about its nominal value.

Suppose that we add a second voltage divider to the above circuit:

\includegraphics[scale=0.500000]{ckt8.0.2.ps}
Let $v_0 = v_a - v_b$ . Since $v_0$ is centered about zero, we can amplify it as much as necessary to fill the range of the A/D converter. This circuit is called a resistive bridge and is traditionally drawn with the resistors arranged in a diamond shape:
\includegraphics[scale=0.500000]{ckt8.0.5.ps}

We already have a circuit that will amplify $v_a-v_b$ , the difference amplifier we saw in Part 4 of Experiment 5.2:

\includegraphics[scale=0.500000]{opamps/diff2.ps}
Although this circuit will work with a bridge circuit, it has a few shortcomings: the finite input resistance loads the bridge, compromising linearity and balance, and very careful matching of resistor values is required to reject so called common mode voltages.

Instrumentation Amplifiers

We can solve the problem of loading by adding a unity gain buffer to each input.
\includegraphics[scale=0.500000]{ckt8.0.3.ps}
However, this circuit still requires very precise matching of resistances to achieve high common mode rejection.

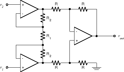
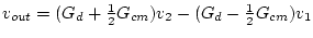
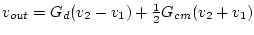
Recall that in Part 4 of Experiment 5.2 we showed that $\displaystyle v_{out}=-\frac{R_2}{R_1}v_1+\frac{R_4}{R_3+R_4}\frac{R_1+R_2}{R_1}v_2$ . If $R_3=R_1$ and $R_4=R_2$ , then $\displaystyle v_{out}=\frac{R_2}{R_1}(v_2-v_1)$ . But if the resistances aren't exactly matched, we will have different gains for the inverting and non inverting inputs. Suppose that $v_{out}=G_2v_2 - G_1v_1$ . Assume that $G_2$ is the larger of the two and that Let $G_d$ be the average of $G_1$ and $G_2$ and let $G_{cm}=G_2-G_1$ . Then $v_{out}=(G_d+\frac{1}{2}G_{cm})v_2 - (G_d-\frac{1}{2}G_{cm})v_1$ or $v_{out}=G_d (v_2-v_1) +\frac{1}{2}G_{cm}(v_2+v_1)$ . $G_d$ is the differential gain and $G_{cm}$ is called the common-mode gain. The common-mode rejection ratio (CMRR) in decibels is defined as $CMRR=20\log_{10}\frac{G_d}{\left\vert G_{cm}\right\vert}$ .

The following circuit combines high input impedance, high common mode rejection, and single resistor gain programming. It is often referred to as the "three op amp" or "classic" instrumentation amplifier.

\includegraphics[scale=0.500000]{ckt8.0.4.ps}
Fig. 8.1: Instrumentation Amplifier