ELEC 243 Lab

Prelude

Signal to Noise Ratio

The signal-to-noise ratio (SNR) is a measure of the quality of a signal received from a noisy system. As its name suggests, it is the ratio of the power of the desired signal to the power of the noise, usually expressed in decibels (dB).

In practice, it's not always easy to measure SNR. Although measuring the noise power in the absence of a signal is easy (just turn off the signal), if we could turn off the noise to make measurements, we'd just leave it off. In the lab is sometimes possible to turn off the noise or to estimate the uncorrupted signal amplitude. When we can't do this, we have to settle for what we can measure, usually noise alone and noise plus signal. This gives us the signal plus noise to noise ratio, or SNNR.

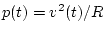
Whatever measurements we make, we need to express the result as a ratio of powers. At the frequencies we will be interested in, measuring voltage is easier than measuring power. If the signal of interest is connected to a resistor of resistance $R$ , then by Joule's and Ohm's laws the power delivered to the resistor is $P=V^2/R$ . However, since the signal is a function of time, so is the power: $p(t)=v^2(t)/R$ . If we want a single number to represent the power of the signal, we can choose the average power: $\displaystyle P=\frac{1}{T}\int_0^Tp(t)\;dt$ where $T$ is an interval of time sufficient to contain the average behavior of the signal. If $v(t)$ is periodic, $T$ is chosen to be an integer multiple of the period.

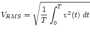
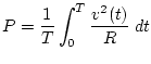
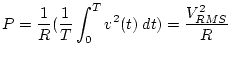
Substituting our instantaneous power $p(t)$ into the above integral, we get: $\displaystyle P=\frac{1}{T}\int_0^T\frac{v^2(t)}{R}\;dt$ or $\displaystyle P=\frac{1}{R}(\frac{1}{T}\int_0^Tv^2(t)\;dt)=\frac{V^2_{RMS}}{R}$ where $\displaystyle V_{RMS}=\sqrt{\frac{1}{T}\int_0^Tv^2(t)\;dt}$ is called the root mean square or RMS value of $v(t)$ .