ELEC 332

Background

Bridge Circuits

Many sensors, such as the dynamic microphone we used in ELEC 241 or the piezoelectric transducers we'll use in this exercise, produce an output voltage directly. Others, such as the carbon button microphone from 241 or the pressure sensor in this exercise, change their resistance in response to changes in the measured parameter. To produce a signal which we can process it is necessary to convert this change in resistance to a voltage.

One way to do this is with a voltage divider:

\includegraphics[scale=0.500000]{ckt8.0.1.ps}
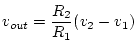
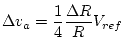
Here $R_2$ is a resistor of known value, $R_1$ is the sensor, and $V_{ref}$ is a known voltage (called the excitation voltage). The output voltage will be $\displaystyle v_a = \frac{R_1}{R_1+R_2} V_{ref}$ . If we consider the sensitivity of the output voltage $v_a$ to changes in the sensor resistance $R_1$ , we get $\displaystyle \frac{d v_a}{d R_1} = \frac{R_2}{(R_1+R_2)^2}V_{ref}$ . For small changes ($\Delta R$ ) in $R_1$ the corresponding change in $v_a$ is $\displaystyle \Delta v_a = \frac{R_2\Delta R}{(R_1+R_2)^2}V_{ref}$ If $R$ is the nominal value of the sensor resistance and we choose $R_2=R$ , then $\displaystyle \Delta v_a = \frac{1}{4}\frac{\Delta R}{R}V_{ref}$ .

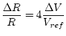
If the internal reference voltage for the MSP430 A/D converter is set to 2.5 V, the minimum resolvable change in voltage will be about 2.4 mV. This means that the smallest change in resistance that we can measure is $\displaystyle \frac{\Delta R}{R}=4\frac{\Delta V}{V_{ref}}$ or about 0.39%. This doesn't seem like much of a limitation, but the pressure sensor we will be using has a full-scale resistance change of only 0.25%, so we would be unable to measure any changes.

The root of the problem is that the total change in the voltage $v_a$ is only a small fraction of the range of the A/D converter. But since this value is located in the middle of the range, we can't amplify $v_a$ without exceeding the range of the A/D converter. What we need to do is amplify the changes in $v_a$ about its nominal value.

Suppose that we add a second voltage divider to the above circuit:

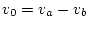
Let $v_0 = v_a - v_b$ . Since $v_0$ is centered about zero, we can amplify it as much as necessary to fill the range of the A/D converter. This circuit is called a resistive bridge and is traditionally drawn with the resistors arranged in a diamond shape:
\includegraphics[scale=0.500000]{ckt8.0.5.ps}

One circuit that will amplify $v_a-v_b$ , is the difference amplifier:

\includegraphics[scale=0.500000]{opamps/diff2.ps}
Although this circuit will work with a bridge circuit, it has a few shortcomings: the finite input resistance loads the bridge, compromising linearity and balance, and very careful matching of resistor values is required to reject so called common mode voltages.

Instrumentation Amplifiers

We can solve the problem of loading by adding a unity gain buffer to each input.
\includegraphics[scale=0.500000]{ckt8.0.3.ps}
However, this circuit still requires very precise matching of resistances to achieve high common mode rejection.

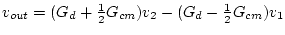
For this circuit $\displaystyle v_{out}=-\frac{R_2}{R_1}v_1+\frac{R_4}{R_3+R_4}\frac{R_1+R_2}{R_1}v_2$ . If $R_3=R_1$ and $R_4=R_2$ , then $\displaystyle v_{out}=\frac{R_2}{R_1}(v_2-v_1)$ . But if the resistances aren't exactly matched, we will have different gains for the inverting and non inverting inputs. Suppose that $v_{out}=G_2v_2 - G_1v_1$ . Assume that $G_2$ is the larger of the two and that Let $G_d$ be the average of $G_1$ and $G_2$ and let $G_{cm}=G_2-G_1$ . Then $v_{out}=(G_d+\frac{1}{2}G_{cm})v_2 - (G_d-\frac{1}{2}G_{cm})v_1$ or $v_{out}=G_d (v_2-v_1) +\frac{1}{2}G_{cm}(v_2+v_1)$ . $G_d$ is the differential gain and $G_{cm}$ is called the common-mode gain. The common-mode rejection ratio (CMRR) in decibels is defined as $CMRR=20\log_{10}\frac{G_d}{\left\vert G_{cm}\right\vert}$ .

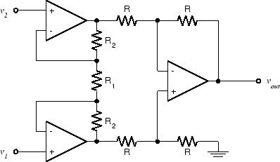
The following circuit combines high input impedance, high common mode rejection, and single resistor gain programming. It is often referred to as the "three op amp" or "classic" instrumentation amplifier.

\includegraphics[scale=0.500000]{ckt8.0.4.ps}
Instrumentation Amplifier